完全总结,积分放大电路的原理和公式详解!必收藏!
积分放大器。
主要是以下几个方面:
1、积分放大电路,
2、积分放大电路如何分析?
3、积分放大电路原理,
4、积分放大电路公式推导
5、积分放大电路计算案例
6、积分放大电路的作用
01
积分放大电路
积分放大电路是一种运算放大电路,主要就是数学里面的积分运算。也就是说,当积分放大电路产生输出电压时,其输出与输入信号的积分成正比。
换句话说,输出信号的大小由电压在其输入端出现的时间长度决定,因为电流通过反馈回路对电容充电或放电,因为所需的负反馈通过电容发生。
02
积分放大电路如何分析?
积分器基本上是一个反相放大器,我们用合适值的电容代替反馈电阻。下图,是一个反相运算放大电路。

反相放大器
如果我们将反馈电阻 Rf 替换为电容 C ,则可以将其修改为运算放大器积分器电路。如下图所示为积分放大电路。
在下面电路中,由于同相输入接地,反相输入的电位也将为零作为同相输入。在理想的运算放大器中,没有电流通过反相和非反相输入流向运算放大器。

积分放大电路
03
积分放大电路原理
当一个阶跃电压 Vin 首先施加到积分放大器的输入端时,未充电的电容 C 的电阻非常小,有点像短路,允许最大电流流过输入电阻 Rin。
没有电流流入放大器,X 点是虚拟接地,导致输出为零。由于此时电容的阻抗非常低,Xc /Rin 的增益比也非常小,总电压增益小于 1,(电压跟随器电路)
作为反馈电容,C 由于输入电压的影响开始充电,其阻抗 Xc 与其充电速率成正比缓慢增加。
电容以由串联 RC 网络的 RC 时间常数 ( τ )确定的速率充电,负反馈迫使运算放大器产生输出电压,在运算放大器的反相输入端保持虚拟接地。

积分放大电路
由于电容连接在运算放大器的反相输入(处于虚拟接地电位)和运算放大器的输出(现在为负)之间,因此电容两端产生的电位电压 Vc 缓慢增加,导致充电电流减小随着电容的阻抗增加,这导致 Xc/Rin 比率增加,产生线性增加的斜坡输出电压,该电压持续增加,直到电容完全充电。
在这一点上,电容充当开路,阻止任何更多的直流电流流动。
反馈电容与输入电阻的比率 ( Xc /Rin ) 现在是无限的,从而导致无限增益。这种高增益(类似于运算放大器的开环增益)的结果是放大器的输出进入饱和状态,如下所示。
(当放大器的输出电压大幅度摆动到一个电压电源轨或另一个电压轨时,就会发生饱和,而两者之间几乎没有控制)。

积分放大电路原理图
输出电压增加的速率(变化率)由电阻和电容的值“ RC 时间常数”决定。例如,通过改变这个 RC 时间常数值,或者通过改变电容 C 或电阻 R 的值,也可以改变输出电压达到饱和所需的时间。

积分放大电路原理
04
积分放大电路公式

积分放大电路
根据之前的知识,电容板上的电压等于电容上的电荷除以其电容得到 Q/C。然后电容两端的电压输出 Vout。
因此:-Vout = Q/C
如果电容正在充电和放电,则电容两端的电压充电速率为:

积分放大电路公式
但 dQ/dt 是电流,由于积分运算放大器在其反相输入端的节点电压为零,X = 0 ,流过输入电阻 Rin 的输入电流 I(in) 为:

积分放大电路公式
流过反馈电容 C 的电流为:

积分放大电路公式
假设运算放大器的输入阻抗为无穷大(理想运算放大器),则没有电流流入运算放大器端子。因此,反相输入端的节点方程为:

积分放大电路公式
我们从中得出积分放大电路的理想电压输出为:

积分放大电路公式
为了简化数学,这也可以重写为:

积分放大电路公式
其中:ω = 2π?并且输出电压 Vout 是一个常数 1/RC 乘以输入电压 Vin 对时间的积分。
因此,该电路具有反相积分器的传递函数,增益常数为 -1/RC。减号 ( - ) 表示180°相移,因为输入信号直接连接到运算放大器的反相输入端。
05
积分放大电路案例
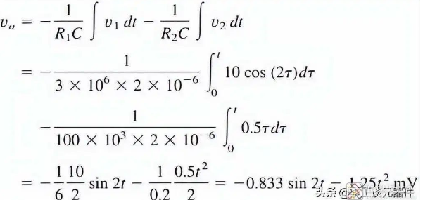
如果 V1 = 10 cos 2 t mV 和 V2 = 0.5 t mV,请在下图的运算放大器电路中找到积分放大电路公式 Vo 。假设电容两端的电压最初为零。

积分放大电路
解:这是一个求和积分器,并且

积分方法电路公式计算
06
积分放大电路的作用
1、斜坡发生器
如果方波作为积分放大器的输入提供,则产生的输出将是三角波或锯齿波。在这种情况下,该电路称为斜坡发生器.
在方波中,电压电平从低到高或从高到低变化,这使得电容被充电或放电。
在方波的正峰值期间,电流开始流经电阻,在下一阶段,电流流经电容。由于流过运算放大器的电流为零,因此电容被充电。在方波输入的负峰值期间会发生相反的情况。对于高频,电容完全充电的时间非常短。
充电和放电速率取决于电阻电容组合,为实现完美积分,输入方波的频率或周期时间需要小于电路时间常数,称为:T应小于或等于CR(T <=CR)。
方波发生器电路可用于产生方波。

斜坡发生器
2、有源低通滤波器-
具有直流增益控制的交流积分放大器
如果基于运算放大器的积分器电路的输入是正弦波,则积分器配置中的运算放大器会在输出端产生 90 °异相正弦波。这称为余弦波。
在这种情况下,当输入为正弦波时,积分放大电路充当有源低通滤波器。
前面已经提到过了,在低频或直流中,电容会产生阻断电流,最终会降低反馈并且输出电压会饱和,在这种情况下,电阻与电容并联连接,这个添加的电阻提供了一个反馈路径。

在上图中,附加电阻 R2 与电容 C1 并联连接。输出正弦波相位相差 90 °。
电路的拐角频率为:
Fc = 1 / 2πCR2
并且可以使用以下公式计算总直流增益:
增益 = -R2 / R1
正弦波发生器电路可用于为积分器输入产生正弦波。
3、低通滤波器
在三角波输入中,积分放大器再次产生正弦波,由于放大器充当低通滤波器,因此大大降低了高频谐波。输出的正弦波只包含低频谐波,输出幅度很小。

4、运算放大器积分器的其他应用
积分放大器是仪器的重要组成部分,用于斜坡生成。
在函数发生器中,积分放大电路用于产生三角波。
积分放大器用于波形整形电路,例如不同种类的电荷放大器。
积分放大电路用于模拟计算机,需要使用模拟电路进行集成。
积分放大电路也广泛用于模数转换器。
不同的传感器还使用积分放大器来重现有用的输出。

微信小程序
浙公网安备 33010502006866号