FR4材料中PP片厚度对阻抗的影响及选型
一、在现代PCB(印刷电路板)设计中,信号完整性是一个至关重要的因素,而阻抗控制则是实现信号完整性的关键。随着电子设备的不断小型化和高性能化,对PCB的阻抗控制提出了更高的要求。FR4作为最常见的PCB基材之一,其预浸料(PP片)的厚度对阻抗的影响不容忽视。本文将深入解析FR4预浸料厚度与阻抗控制之间的关系,并提供相应的选型对照表,以帮助工程师在设计过程中做出更合理的选择。

二、PP片在PCB中的作用PP片在PCB中扮演着层间绝缘介质的重要角色。它不仅能够有效地隔离不同的导电层,防止电气短路,还对信号传输的质量起着决定性的作用。具体来说,PP片的厚度直接影响信号层与参考层(如地层或电源层)之间的间距。这一间距的变化会改变传输线的电磁场分布,进而影响信号的传播特性,包括阻抗、传播延迟和信号完整性等关键参数。

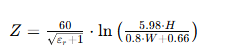
其中,Z为特性阻抗,单位为欧姆(Ω);H为PP片厚度,单位为毫米(mm);W为信号线宽度,单位为毫米(mm);εr为介质材料的相对介电常数(Dk)。
从公式可以看出,PP厚度的增加会使得信号线与参考层之间的距离增大,从而导致阻抗升高。同时,介电常数越低,介质对电磁场的束缚能力越弱,阻抗也随之升高。而线宽的增加则会降低阻抗,因为更宽的导线能够承载更多的电荷,减少对信号的阻碍作用。
四、厚度-阻抗对照表设计逻辑为了更直观地展示PP厚度对阻抗的影响,我们以50Ω微带线为例,设计了一个厚度-阻抗对照表。该对照表列举了不同PP厚度(0.1mm、0.2mm、0.3mm)下,对应实现50Ω阻抗所需的线宽范围。在设计过程中,我们考虑了FR4材料的典型介电常数Dk=4.4的情况,这是FR4材料在一般应用中的平均值。

微信小程序
浙公网安备 33010502006866号