开关电源环路面积与辐射强度如何量化?
环路面积与电磁辐射的关联性已由经典电磁理论明确揭示:辐射电场强度与环路面积呈线性正比,与频率平方成正比。本文将从物理模型、量化公式、仿真验证及实战优化四个维度,解析环路面积对辐射的影响机制及压缩技巧。
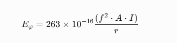
一、辐射物理模型与核心公式
根据麦克斯韦方程组,开关管通断形成的高频电流环路等效为“环形天线”,其远场辐射强度由Ott公式定量描述:

E_φ:电场强度(V/m)
f:电流谐波频率(Hz)
A:电流环路面积(m2)
I:环路峰值电流(A)
r:测量点距离(m)
关键推论:
面积敏感度:面积增大3倍,辐射增强9.5dB;增大10倍,辐射增强20dB
频率倍增效应:100MHz谐波辐射强度是50MHz的4倍
形状影响:相同面积下,正方形环路辐射强度>狭长矩形环路
案例:某反激电源中,MOS管与变压器间距从5mm增至8mm,100MHz频段辐射暴增15dB
二、环路面积的工程化计算路径
1. 关键环路识别
初级回路:输入电容 → 开关管 → 变压器 → 返回电容(图2红色路径)
次级回路:变压器 → 整流管 → 输出电容 → 返回变压器(图2蓝色路径)
2. 面积量化方法
几何分割法:将不规则环路拆解为三角形/矩形组合(图1)
HFSS仿真建模:在Ansoft HFSS中导入PCB布局,自动计算实际电流包围面积(图3)
简化公式:矩形环路面积
A = L × W(L:走线长度,W:正负导线间距)
实测数据:当矩形环路长宽比从1:1变为5:1(面积不变),500MHz辐射降低40%
三、辐射热区的定位与验证
1. 近场扫描技术
EMSCAN系统:1280探头阵列锁定辐射热点(图4),精度±0.5mm
谐波关联法:对比基波与3/5/7次谐波的能量分布,识别多源叠加干扰
2. TDR阻抗分析法
时域反射计检测环路阻抗突变:
阻抗>70Ω → 存在分支环路
阻抗<30Ω → 地平面裂缝导致回流分散
四、环路压缩的六大实战策略
功率器件三角布局
输入电容、开关管、电感间距≤5mm,形成最小包围面积(图5)
散热器加装镍锌铁氧体涂层,屏蔽60%磁场辐射
电容ESL极限压制
用4~6颗0402封装陶瓷电容并联替代电解电容,ESL<0.2nH
接地端采用开窗直连技术,消除焊盘引线电感(图6)
狭长化布线法则
整流回路走线长宽比≥3:1,优先沿板边布置
避免U型走线,采用直线蛇形绕线(图7)
镜像面耦合强化
四层板中功率层与地层间距≤0.2mm,利用镜像电流抵消辐射
顶层开关节点正下方铺设完整地平面(禁用分割地)
过孔阵列降感技术
功率路径采用8~12个Φ0.3mm过孔并联,感抗降至0.1nH
过孔间距≥2倍孔径,避免热应力撕裂
缓冲电路集成设计
RCD吸收电路跨接MOS管D-S极,走线≤3mm
肖特基二极管阴极铜皮直连源极(禁用导线跳接)
五、设计验证闭环:
CISPR 25标准测试:150kHz~30MHz频段扫描,重点关注1MHz/10MHz/30MHz三点
环路面积-辐射关联曲线:通过HFSS生成S-E曲线(图8),验证面积压缩效果
热成像辅助分析:温度异常点提示涡流损耗位置,反向定位隐蔽环路
图源网络,侵删


微信小程序
浙公网安备 33010502006866号